速看!内江1月2日新冠病毒疫苗接种点开放情况来了
时间:2022-01-01 16:52:00 来源:内江市疾控中心10月15日起
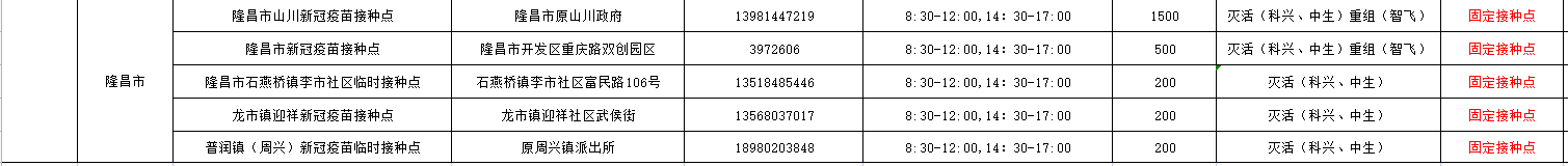
内江市各县市区
已陆续启动了新冠病毒疫苗
加强针接种工作
凡是接种过一针次、两针次疫苗
满六个月的18岁及以上人群
都可以到辖区新冠疫苗接种点进行接种

为方便市民接种新冠病毒疫苗
现将1月2日
内江市新冠病毒疫苗接种点
开放情况公布如下
↓↓↓

▲ 点击图片查看大图
| 编辑: | 向素玉 |
| 责编: | 刘桂莲 |
| 审核: | 程云 |
评论
新闻推荐
10月15日起
内江市各县市区
已陆续启动了新冠病毒疫苗
加强针接种工作
凡是接种过一针次、两针次疫苗
满六个月的18岁及以上人群
都可以到辖区新冠疫苗接种点进行接种

为方便市民接种新冠病毒疫苗
现将1月2日
内江市新冠病毒疫苗接种点
开放情况公布如下
↓↓↓

▲ 点击图片查看大图
| 编辑: | 向素玉 |
| 责编: | 刘桂莲 |
| 审核: | 程云 |