10月3日0—24时,内江无新增!
时间:2022-10-04 10:42:08 来源:健康内江10月3日0—24时,全市无新增本土确诊病例,无新增本土无症状感染者。由既往无症状感染者转为确诊病例2例。
10月3日0—24时,新增治愈出院病例20例。
请广大市民继续自觉遵守防疫各项规定,尤其是有中、高风险区旅居史和省内外其他地区来(返)内人员,应主动配合防疫工作,遵守“一扫四查”要求,严格落实“入内即检”“入内即报”,按要求做好核酸检测,少聚集、少外出,减少不必要的聚餐聚会,做好个人防护,共同守护来之不易的防控成果。

内江市四区核酸采样点位汇总
↓↓↓
市中区核酸采样点位
(48个)


▲ 点击二维码查看大图
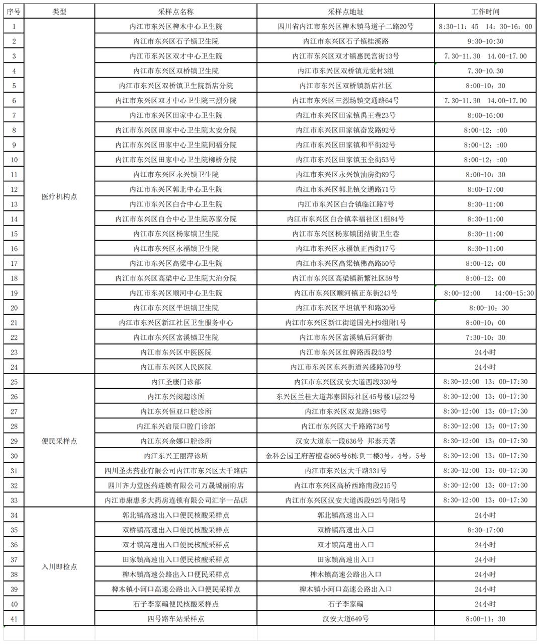
东兴区核酸采样点位
(41个)

▲ 点击二维码查看大图
内江经开区核酸采样点位
(13个)


▲ 点击二维码查看大图
内江高新区核酸采样点位
(6个)


▲ 点击二维码查看大图
内江市疾控中心和各县区对外咨询电话

医疗机构心理咨询电话

心理协会电话

>>想要了解更多疫情实时动态,下载“大内江APP”,进入【关注新型冠状病毒肺炎疫情】专区了解!
| 编辑: | 邓裴琳 |
| 责编: | 毛佳莉 |
| 审核: | 程云 |
评论
新闻推荐

